核动力运行研究所,就低代码平台软件项目组织采购活动。欢迎符合条件的报价人参与报价。 1、采购文件发布时间及地点 采购文件于2022年10月10日通过中国核工业集团公司电子商务平台(https://ww…
LowCode低码时代对国内外43家主流低代码、零代码平台进行汇总整理,希望能够帮助广大用户深入了解各厂商的技术优势,从而选择一款适合自己的开发平台。
在传统搜索引擎时代,我们常说“酒香也怕巷子深”,因为如果品牌在搜索引擎上无法被找到,就难以获得用户的关注。而今,我们正处在大模型蓬勃发展的新时代,用户对AI答案的依赖度日益提高,这彻底改变了流量获取和用户决策的流程。 在10月10…
10月10日,由中科算网科技有限公司、算泥AI开发者社区联合主编,中国科学技术大学苏州高等研究院联合发布的《AI 大模型与异构算力融合技术白皮书》正式发布。白皮书精准聚焦当前大模型开发领域的核心痛点,致力于为开发者提供全面且实用的…
我们都知道,大模型肚子里只有训练时学到的那些知识,有一个“截止日期”。为了解决这个问题,RAG(检索增强生成,Retrieval-Augmented Generation)技术能让 LLM 遇到一个问题时,不再只靠自己的记忆,而是…
上海人工智能实验室,上海创新研究院,上海交大,南京大学,悉尼大学,港中大,清华,共同推出了被誉为新一代多模态生成与理解统一模型的Lumina-DiMOO。 “An Omni Diffusion Large Language Mod…
知名AI、数据科学家Avi Chawla最近精心整合关于AI Agent的,117页PDF的全景技术报告。 这份报告的内容非常全面,无论是技术新手或老手都能深度了解关于智能体的相关内容。在基础理论部分,清晰阐述基础概念,深入剖析大…
今天上午,全球著名大模型平台Anthropic在官网宣布获得130亿美元F轮融资,估值达到1830亿美元。 本次由ICONIQ、Fidelity Management & Research Company和Lightspe…
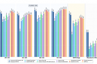
昨晚,腾讯开源了2025年世界机器翻译大会(WMT2025)上斩获佳绩的翻译大模型Hunyuan-MT-7B。 根据比赛成绩显示,Hunyuan-MT-7B在中文、英文、法语、德语、马拉地语、爱沙尼亚语、冰岛语、芬兰语、匈牙利语、…
登录你的账号
